میانگین موزون هزینه سرمایه

میانگین موزون هزینه سرمایه یا به انگلیسی Weighted Average Cost of Capital – WACC
میانگین موزون هزینه سرمایه (WACC) یکی از مفاهیم کلیدی در مدیریت مالی و سرمایهگذاری است که به محاسبه هزینه کلی سرمایه یک شرکت بر اساس نسبتهای مختلف منابع مالی مورد استفاده، میپردازد. WACC نشاندهنده میانگین هزینهای است که یک شرکت برای تأمین مالی داراییهایش از طریق بدهیها و حقوق صاحبان سهام متحمل میشود.
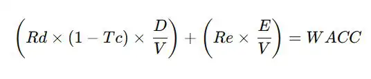
فرمول WACC به صورت زیر است:

که در آن:
- EE : ارزش بازار حقوق صاحبان سهام
- DD : ارزش بازار بدهیها
- VV : مجموع ارزش بازار حقوق صاحبان سهام و بدهیها ( V=E+DV = E + D )
- ReRe : هزینه حقوق صاحبان سهام
- RdRd : هزینه بدهی
- TcTc : نرخ مالیات
در این فرمول، نسبت هر یک از منابع مالی (حقوق صاحبان سهام و بدهیها) به مجموع سرمایه، در هزینه مرتبط با آن منبع ضرب میشود. در نتیجه، WACC نشاندهنده هزینه متوسط هر واحد سرمایهای است که شرکت از طریق ترکیبی از بدهیها و حقوق صاحبان سهام تأمین میکند.
محاسبه WACC اهمیت زیادی دارد زیرا این شاخص به عنوان نرخ تنزیل برای ارزیابی پروژههای سرمایهگذاری جدید استفاده میشود. اگر بازدهی مورد انتظار از پروژهای بیشتر از WACC باشد، آن پروژه به طور معمول سودآور تلقی میشود و توصیه به سرمایهگذاری در آن میشود. برعکس، اگر بازدهی کمتر از WACC باشد، پروژه به احتمال زیاد زیانآور خواهد بود.
WACC به شرکتها کمک میکند تا تصمیمات بهتری در مورد ساختار سرمایهشان بگیرند و تعادلی میان بدهیها و حقوق صاحبان سهام برقرار کنند. به طور کلی، این شاخص یک ابزار مهم در تجزیه و تحلیل مالی و مدیریت ریسک است که به شرکتها در تعیین استراتژیهای تأمین مالی و سرمایهگذاری کمک میکند.
به طور خلاصه، WACC یک معیار جامع است که هزینه کلی سرمایه یک شرکت را با در نظر گرفتن تمامی منابع مالی مختلف و نسبتهای آنها محاسبه میکند و به عنوان یک ابزار کلیدی در تصمیمگیریهای مالی و سرمایهگذاری استفاده میشود.

